РЕЕСТР ПЕРЕВОДЧИКОВ ЖЕСТОВОГО ЯЗЫКА РЕСПУБЛИКИ БЕЛАРУСЬ
Реестр переводчиков жестового языка Республики Беларусь создан в целях упорядочения деятельности переводчиков жестового языка в нашей стране, обеспечения контроля качества предоставляемых ими услуг, развития системы оказания услуг перевода белорусского жестового языка в стране.
Документация:
Реестр переводчиков жестового языка Республики Беларусь:
Брестская область

Витебская область

Гомельская область

Гродненская область

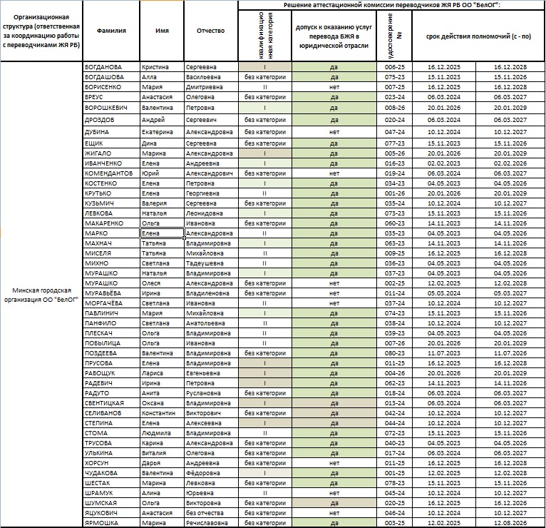
Минск

Минская область

Могилевская область
